.
Contenidos Unidad 2
_17.51.59.png)
_17.52.58.png)
_17.53.09.png)
_17.53.18.png)
_17.53.28.png)
_17.53.37.png)
Problemas de valor inicial
_17.55.13.png)
_17.55.30.png)
_17.55.38.png)
_17.55.53.png)
_17.56.07.png)
_17.56.15.png)
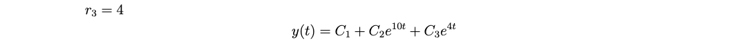
Ecuaciones diferenciales de orden superior
_17.58.02.png)
_17.58.13.png)
_17.58.24.png)
Ecuaciones Diferenciales de 2° Orden No Homogéneas
_17.59.28.png)
_17.59.36.png)
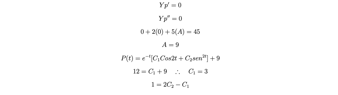
Aplicaciones a la Economía
_18.00.52.png)
_18.00.59.png)
_18.01.07.png)
Obra publicada con Licencia Creative Commons Reconocimiento Compartir igual 4.0
_17.51.59.png)
_17.52.58.png)
_17.53.09.png)
_17.53.18.png)
_17.53.28.png)
_17.53.37.png)
_17.55.13.png)
_17.55.30.png)
_17.55.38.png)
_17.55.53.png)
_17.56.07.png)
_17.56.15.png)
_17.58.02.png)
_17.58.13.png)
_17.58.24.png)
_17.59.28.png)
_17.59.36.png)
_18.00.52.png)
_18.00.59.png)
_18.01.07.png)
Obra publicada con Licencia Creative Commons Reconocimiento Compartir igual 4.0